Overview
Selling your deceased parent’s house can feel overwhelming, especially when you’re not sure if you need probate. If the property is held in a living trust or owned jointly with rights of survivorship, you might not need to go through that process. This can make things a bit easier during a tough time.
Understanding the property’s value and having the right documentation is key. Here’s what usually happens:
- People often face uncertainty about how to handle the sale quickly.
- That’s where we come in.
- We help simplify the process, reducing stress so you can focus on what matters most.
Introduction
Selling a deceased parent’s house can feel overwhelming, especially when you wonder if it’s possible to do so without going through probate. This situation matters because navigating the probate process can add stress during an already tough time. Understanding your options can lighten this burden for families.
Here’s what usually happens: many heirs face delays and complications when trying to sell inherited property. You might be dealing with emotional challenges while also managing potential disputes and legal hurdles. It’s understandable to want to expedite the sale and move forward.
That’s where we come in. This guide outlines steps you can take to sell inherited property without the lengthy probate process. We’ll explore strategies that simplify things, helping you find a reliable path forward amidst the uncertainty. You don’t have to handle this all yourself; there are ways to ensure a smoother transition.
Understand the Probate Process and Its Alternatives
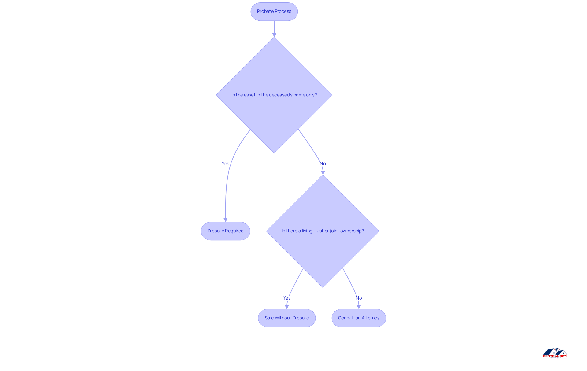
The probate procedure is a legal method that validates a deceased individual’s will and oversees the distribution of their assets. If a deceased parent’s house is solely in their name, the question arises, can I sell my deceased parent’s house without probate before it can be sold? However, there are alternatives that address the question, ‘can I sell my deceased parent’s house without probate?’. For instance, if the house was placed in a living trust, the successor trustee can sell it directly, skipping the probate process entirely. Also, assets held jointly with rights of survivorship can be sold without needing probate.
In fact, about 30% of assets in the U.S. are sold without going through probate, showing that these alternatives are viable. Understanding these options can really help reduce the time and stress of selling a home, particularly when asking, ‘can I sell my deceased parent’s house without probate,’ making it easier for families to move forward. Real estate attorneys often stress the importance of exploring these alternatives. They can provide a smoother transition during a tough time.
By using these strategies, homeowners can navigate the complexities of estate management and speed up the sale of inherited assets. You don’t have to handle this all yourself; there are ways to make the process simpler.

Gather Necessary Documents and Assess Property Value
Selling an inherited house can feel overwhelming, particularly when wondering, can I sell my deceased parents house without probate and gathering the right documents. Here’s what usually happens: you may find yourself unsure of what you need to move forward, particularly when considering if you can sell my deceased parents house without probate. This matters because having the right paperwork can make a big difference in how smoothly the sale goes.
First, you’ll need a Death Certificate to confirm the owner’s passing. Then, if there’s a Will or Trust Document, it will clarify how the assets should be divided among heirs. It’s also important to have the Real Estate Deed, which shows ownership and any existing liens or mortgages.
Don’t forget the Tax Records; these help determine the asset’s assessed value, which is crucial for pricing it right. Engaging a professional appraiser for an Evaluation is highly recommended. A precise evaluation not only helps set a competitive market price but also protects you from potential financial risks. Remember, homes with thorough evaluations tend to sell faster and at better prices.
By gathering these documents early, you can streamline the selling process and reduce delays. This way, you can ensure a smoother transition during what can be a challenging time. You don’t have to handle this all yourself; we’re here to help make it easier.

Execute the Sale: Steps to Sell Without Probate
Selling a house can be a daunting task, particularly when you’re asking, can I sell my deceased parents house without probate, or need to move quickly. It’s important to know the steps to take to make the process smoother and less stressful.
First, you’ll want to decide how you plan to sell. You can either work with a real estate agent or sell directly to a cash buyer. Cash buyers can speed things up significantly, often closing in as little as seven days and without needing repairs or appraisals.
If you choose to go with an agent, make sure they have experience with inherited properties. This expertise can really help with marketing and getting the best price. Agents can also share valuable insights about pricing and market trends, which can lead to better offers.
When it comes to offers, be ready to negotiate. Knowing the fair market value of your property is crucial. Cash buyers typically offer between 50% to 70% of that value, which can help you wrap things up quickly without the complications of traditional sales.
Once you’ve accepted an offer, it’s time to finalize the sale. Work with a title company or attorney to handle the closing process. It’s essential to ensure all paperwork is done correctly to avoid any future legal issues. Remember, cash sales often come with fewer contingencies and hidden fees compared to traditional methods.

Troubleshoot Common Issues in Selling Inherited Property
One of the challenges of selling inherited property is figuring out if I can sell my deceased parents house without probate. Here’s a look at some common issues and how you can tackle them effectively:
-
Disagreements among heirs can create tension. When multiple people are involved, conflicts may arise. Mediation can help resolve these disputes amicably, making sure everyone feels heard and respected.
-
If the house is in poor shape, selling as-is might be your best bet. This option often attracts cash buyers looking for a deal, allowing for a quicker sale without costly renovations. Companies like Central City Solutions can provide fast cash offers for homes in any condition, with no fees, commissions, or hidden charges. This is especially helpful for homeowners facing foreclosure or needing to relocate quickly.
-
Before listing the property, it’s important to ensure the title is clear to determine if I can sell my deceased parents house without probate. If there are liens or disputes, consulting a real estate attorney can help navigate these issues and make the transaction smoother.
-
Also, keep an eye on potential capital gains taxes when transferring inherited assets. Understanding the stepped-up basis—where the property’s value adjusts to its fair market value at the time of the decedent’s death—can significantly affect your tax obligations. A tax professional can clarify this and assist in planning.
By proactively addressing these common challenges, heirs can navigate the selling process more smoothly and work towards a successful outcome.

Conclusion
Selling a deceased parent’s house can be a tough and emotional challenge. Many wonder if it can be done without going through probate. Knowing the options available, like selling properties held in living trusts or jointly owned assets, is key. These paths not only make the process easier but also help reduce some of the stress that comes with managing an estate.
To sell inherited property successfully, you’ll want to gather important documents, assess the property’s value, and execute the sale effectively. Having the right paperwork—like the death certificate, will, and real estate deed—is crucial for a smooth transaction. Plus, deciding whether to work with a real estate agent or a cash buyer can greatly affect how quickly and easily the sale goes.
It’s important to address potential challenges upfront, such as disputes among heirs or worries about the property’s condition. By being informed about the legal requirements and the implications of selling inherited property, you can navigate this difficult time with more confidence. These strategies not only help facilitate the sale but also honor the legacy of your loved ones, giving heirs a fresh start.
Frequently Asked Questions
What is the probate process?
The probate process is a legal method that validates a deceased individual’s will and oversees the distribution of their assets.
Can I sell my deceased parent’s house without going through probate?
Yes, there are alternatives that allow you to sell your deceased parent’s house without probate, such as if the house was placed in a living trust or if it is held jointly with rights of survivorship.
What happens if the house was solely in the deceased parent’s name?
If the house is solely in the deceased parent’s name, it typically requires probate to sell unless one of the alternatives, like a living trust or joint ownership, applies.
How common is it to sell assets without going through probate?
About 30% of assets in the U.S. are sold without going through probate, indicating that these alternatives are viable options.
Why is it important to explore alternatives to probate?
Exploring alternatives to probate can reduce the time and stress of selling a home, making it easier for families to move forward during a difficult time.
How can real estate attorneys assist in this process?
Real estate attorneys can provide guidance on navigating the complexities of estate management and help facilitate a smoother transition when selling inherited assets.